睡得越多死得越快?到底是真是假

流言:“惊人!睡得越多死得越快”每天仅睡六七个小时的人,比每天睡超过8小时,或少于4小时的人死亡率要低很多。睡得过多和吃得过饱都是一个道理,吃得八分饱,也许才是最健康的。因此,即使到点之后还觉得困,你也应该说服自己别再赖在床上了。

真相:人的一生有很大一部分时间在睡眠中度过。熬夜加班缺乏睡眠让人精神不振,不少人都深有体会,但要说“每天睡超过8小时死亡率反而高”,可能不少人都会觉得不可思议。不过,美国癌症协会( American Cancer Society )领导的一项大型研究确实发现在长达6年的追踪时间内,每晚睡8个小时的人竟比每晚睡7个小时的人有着更高的死亡率。

这项名为“第二期癌症预防研究”(Cancer Prevention Research II)的研究目的在于搞清不同的环境因素和生活习性在癌症发病上起的作用,因此饮食、烟酒史、家族患病情况等信息都会被一一记录下来,而睡眠时间正是其中的参数之一。

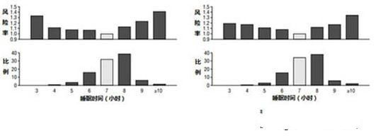
这是一项大样本的调查,研究总共收集了116万人的数据,受试者中最年轻的有30岁,最年长的有102岁。在调查问卷中,受试者需要如实填写自己每晚的平均睡眠时间,并在四舍五入近似到小时后录入数据库。6年之后,调查人员对这些受试者进行了回访,统计出了健在者和死亡者的名单,以此来计算每一个具有不同睡眠时长的群体的死亡率。最后的结果我们已经在开头提到了——在排除了其他环境因素、生活习惯和健康状况的影响后,平均每晚睡眠7个小时的人有着最低的死亡率,其次则是每晚睡6个小时的人,而每晚睡眠8个小时的人的死亡率竟要比每晚睡7个小时的人高出12% 。

不同睡眠时间对女性(左)和男性(右)死亡风险率的影响。风险率以每晚睡眠7小时的群体死亡率为基准,数值每高0.1则意味着死亡率高10%。

除了睡眠时间长短,失眠是否对健康有影响也是容易勾起人们兴趣的话题。这项研究通过调查每名受试者在过去一个月中失眠的次数,对失眠与健康的关系也做了研究。令人感到惊讶的是,失眠对死亡率只有很小的影响,失眠次数的多寡(从不失眠到每月失眠10次以上)也与相应群体的死亡率无关。然而在失眠频度相同的情况下,长期使用安眠药助眠会使每天睡眠7-10个小时的群体的死亡率明显上升。

如果说“长期使用安眠药会影响人的健康”尚且好理解,那么“每天睡眠7小时而不是8小时才对健康有益”以及“失眠对人体的健康无害”这两个观点无疑颠覆了很多朋友的三观。对于这项研究的解读真能证实这两个结论吗?研究论文的第一作者,来自加州大学圣迭戈分校的克里普克教授( Daniel F. Kripke)对此的评价很是谨慎。

关于第一点,虽然睡眠时长和受试者6年内的死亡率呈现出极强的相关性,但之间的因果关系尚未得到证明。仅依靠目前已知的知识仍然无法确认究竟是睡眠时长导致了死亡率的不同,还是由于某些短期内致死率高的隐疾影响了人体的睡眠时长。无论是哪一种可能,其中的机理都有待阐明。关于第二点,很多时候的所谓“失眠”并不是真正的缺乏睡眠。仔细算来,许多受试者的睡眠时间依旧在正常人的睡眠范围之内。此外,研究仅仅考虑了失眠频度对短期死亡率的影响,诸如犯困、情绪沮丧或注意力不集中等问题并没有在这项研究中得到重视。在对“失眠”做出明确的定义,并检视失眠对人体的其他影响之前,断言失眠对人体的健康无害显然为时过早。

结论:因为最近几周压力大没睡好而担心自己的健康?没有必要,而长期服用安眠药助眠可能更是得不偿失。虽然在阐明睡眠和健康之间的作用机理之前把每天的闹钟拨快一个小时并不是什么明智的做法,但这项研究至少告诉我们或许人类并不需要那么多的睡眠。

欢迎转载趣闻堂的文章,请注明出处:趣闻堂 (quwentang.com)